Выберите класс▼

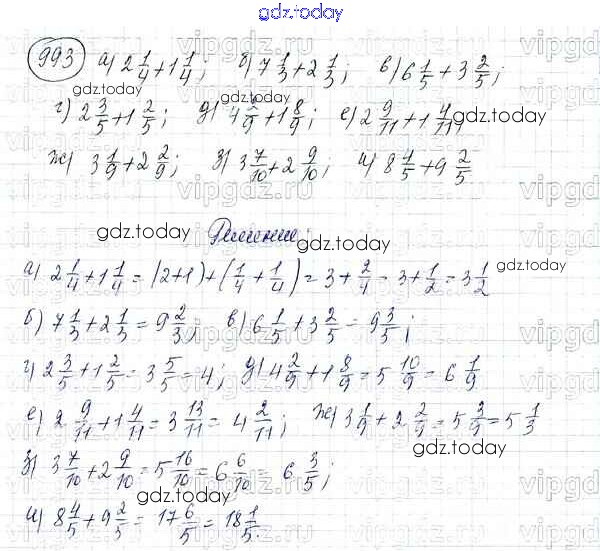
Ответы к Решение к упражнениям 993 Учебнику по Математике для 5 класса Никольский, Потапов Просвещение, Просвещение МГУ - школе 2016, 2012

На страницах сайта gdz.today вы найдете учебный и вспомогательный материал, направленный на улучшения знаний школьной программы. ГДЗ - онлайн мир знаний Решение к упражнениям 993 Учебнику по Математике для 5 класса Никольский, Потапов Просвещение, Просвещение МГУ - школе 2016, 2012