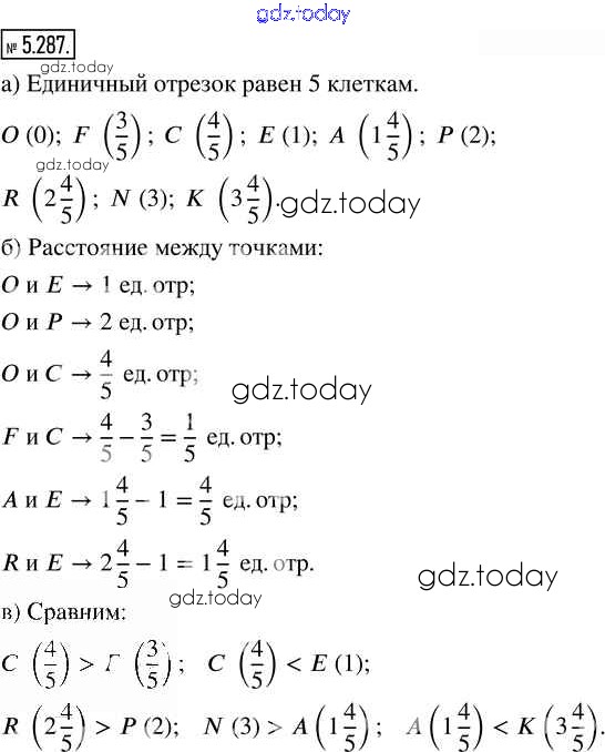
Ответы к Глава 5. Обыкновенные дроби Часть 2 (решение) 5.287 Учебнику по Математике для 5 класса Виленкин, Жохов Просвещение 2021
-
Часть 2 (решение)
На страницах сайта gdz.today вы найдете учебный и вспомогательный материал, направленный на улучшения знаний школьной программы. ГДЗ - онлайн мир знаний Глава 5. Обыкновенные дроби Часть 2 (решение) 5.287 Учебнику по Математике для 5 класса Виленкин, Жохов Просвещение 2021