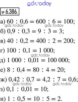
Ответы к Глава 6. Десятичные дроби Часть 2 (решение) 6.386 Учебнику по Математике для 5 класса Виленкин, Жохов Просвещение 2021
-
Часть 2 (решение)
На страницах сайта gdz.today вы найдете учебный и вспомогательный материал, направленный на улучшения знаний школьной программы. ГДЗ - онлайн мир знаний Глава 6. Десятичные дроби Часть 2 (решение) 6.386 Учебнику по Математике для 5 класса Виленкин, Жохов Просвещение 2021