Выберите класс▼

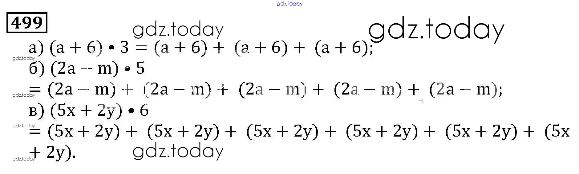
Ответы к Решение к главе 1. Натуральные числа (упражнения с 1 по 849) 499 Учебнику по Математике для 5 класса Виленкин, Жохов Мнемозина 2013

На страницах сайта gdz.today вы найдете учебный и вспомогательный материал, направленный на улучшения знаний школьной программы. ГДЗ - онлайн мир знаний Решение к главе 1. Натуральные числа (упражнения с 1 по 849) 499 Учебнику по Математике для 5 класса Виленкин, Жохов Мнемозина 2013