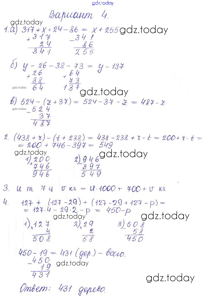
Ответы к СР-9. Варианты Решение к самостоятельным работам 4 Контрольным и самостоятельным работам по Математике для 5 класса Журавлев, Свентковский Экзамен УМК 2015
-
Решение к самостоятельным работам
На страницах сайта gdz.today вы найдете учебный и вспомогательный материал, направленный на улучшения знаний школьной программы. ГДЗ - онлайн мир знаний СР-9. Варианты Решение к самостоятельным работам 4 Контрольным и самостоятельным работам по Математике для 5 класса Журавлев, Свентковский Экзамен УМК 2015