Выберите класс▼

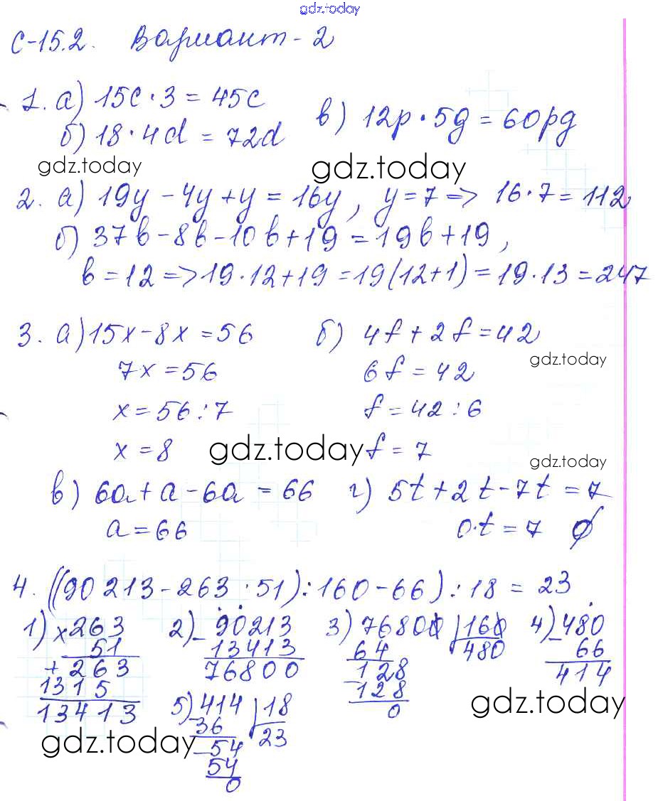
Ответы к Решение к СР-15.2 2 Самостоятельным работам по Математике для 5 класса Зубарева, Шанцева Мнемозина 2016

  • Решение к СР-13.2
  • 2
  • Решение к СР-14.1
  • 1 2
  • Решение к СР-14.2
  • 1 2
  • Решение к СР-15.1
  • 1 2
  • Решение к СР-15.2
  • 1 2
  • Решение к СР-15.3
  • 1 2
  • Решение к СР-16.1
  • 1 2
  • Решение к СР-16.2
  • 1 2
  • Решение к СР-17.1
  • 1 2
На страницах сайта gdz.today вы найдете учебный и вспомогательный материал, направленный на улучшения знаний школьной программы. ГДЗ - онлайн мир знаний Решение к СР-15.2 2 Самостоятельным работам по Математике для 5 класса Зубарева, Шанцева Мнемозина 2016