Выберите класс▼

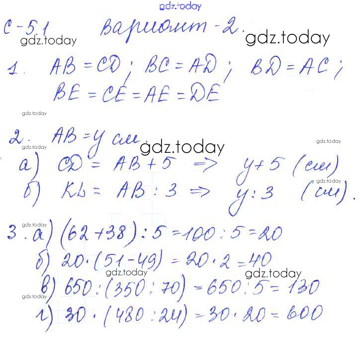
Ответы к Решение к СР-5.1 2 Самостоятельным работам по Математике для 5 класса Зубарева, Шанцева Мнемозина 2016

  • Решение к СР-3.1
  • 2
  • Решение к СР-3.2
  • 1 2
  • Решение к СР-4.1
  • 1 2
  • Решение к СР-4.2
  • 1 2
  • Решение к СР-5.1
  • 1 2
  • Решение к СР-5.2
  • 1 2
  • Решение к СР-6.1
  • 1 2
  • Решение к СР-6.2
  • 1 2
  • Решение к СР-7.1
  • 1 2
На страницах сайта gdz.today вы найдете учебный и вспомогательный материал, направленный на улучшения знаний школьной программы. ГДЗ - онлайн мир знаний Решение к СР-5.1 2 Самостоятельным работам по Математике для 5 класса Зубарева, Шанцева Мнемозина 2016