Выберите класс▼

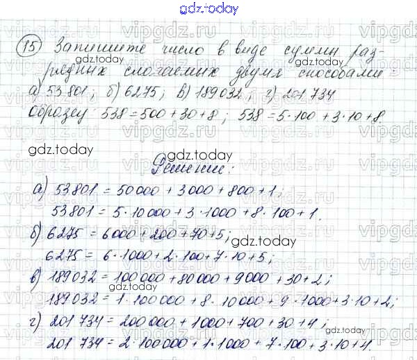
Ответы к Решение к упражнениям 15 Учебнику по Математике для 5 класса Зубарева, Мордкович Мнемозина 2015

На страницах сайта gdz.today вы найдете учебный и вспомогательный материал, направленный на улучшения знаний школьной программы. ГДЗ - онлайн мир знаний Решение к упражнениям 15 Учебнику по Математике для 5 класса Зубарева, Мордкович Мнемозина 2015