Выберите класс▼

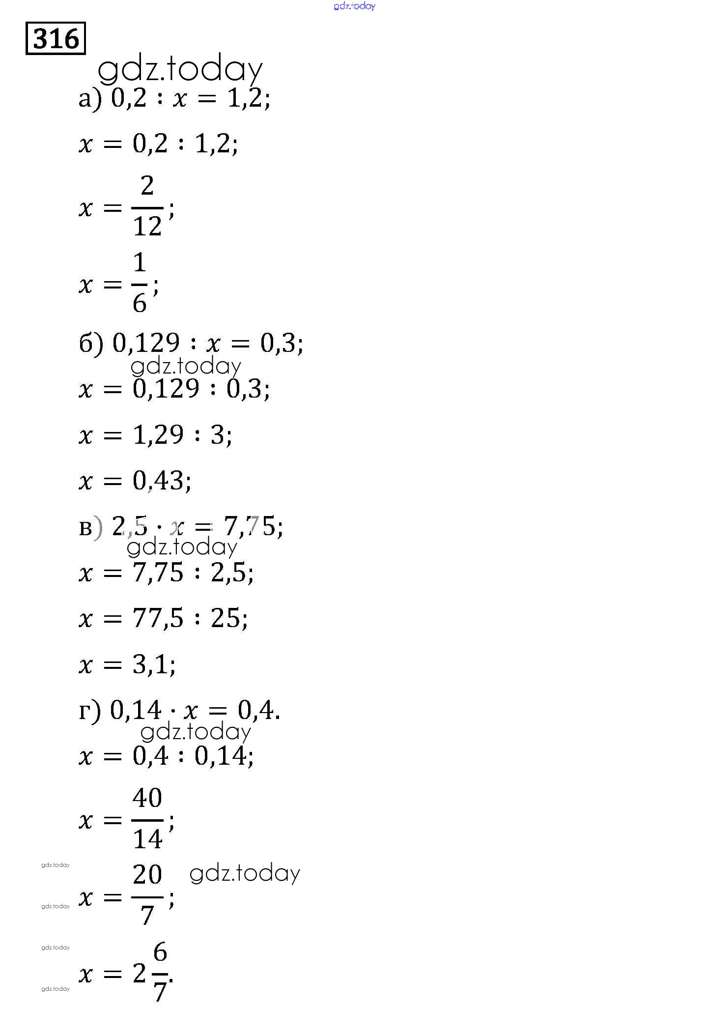
Ответы к Решение к упражнениям 316 Задачнику по Математике для 6 класса Бунимович, Кузнецова Просвещение Сферы 2014

На страницах сайта gdz.today вы найдете учебный и вспомогательный материал, направленный на улучшения знаний школьной программы. ГДЗ - онлайн мир знаний Решение к упражнениям 316 Задачнику по Математике для 6 класса Бунимович, Кузнецова Просвещение Сферы 2014