Выберите класс▼

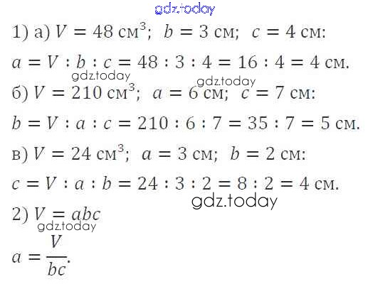
Ответы к Решение к упражнениям 662 Учебнику по Математике для 6 класса Дорофеев, Шарыгин Просвещение Академический школьный учебник 2014

На страницах сайта gdz.today вы найдете учебный и вспомогательный материал, направленный на улучшения знаний школьной программы. ГДЗ - онлайн мир знаний Решение к упражнениям 662 Учебнику по Математике для 6 класса Дорофеев, Шарыгин Просвещение Академический школьный учебник 2014