Выберите класс▼

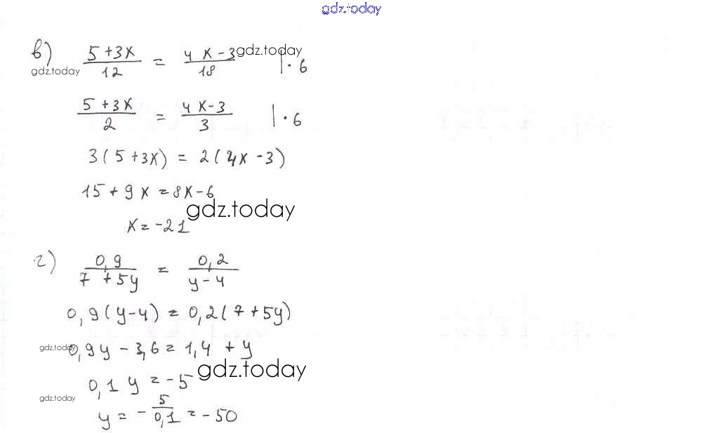
Ответы к Решение. Часть 3. Упражнения 90 Учебнику по Математике для 6 класса Петерсон, Дорофеев Ювента Учусь учиться 2014

На страницах сайта gdz.today вы найдете учебный и вспомогательный материал, направленный на улучшения знаний школьной программы. ГДЗ - онлайн мир знаний Решение. Часть 3. Упражнения 90 Учебнику по Математике для 6 класса Петерсон, Дорофеев Ювента Учусь учиться 2014