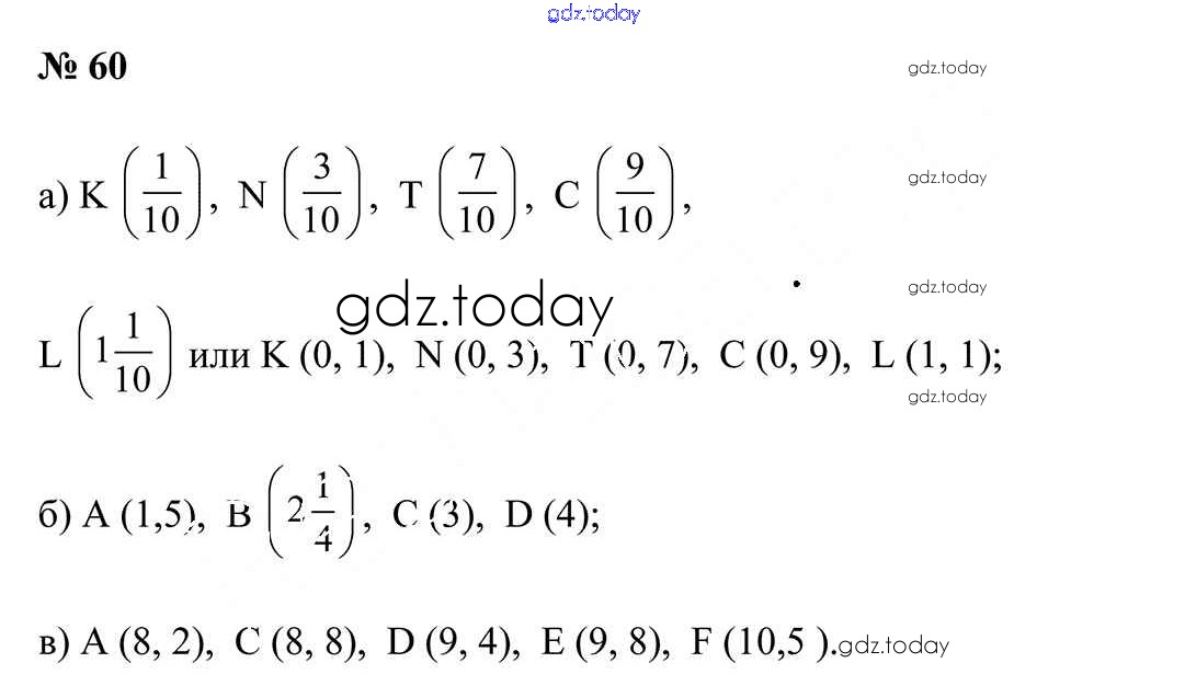
Ответы к Упражнения Решение к главе 1 60 Учебнику по Математике для 6 класса Герасимов, Пирютко Образование и воспитание 2018
-
Решение к главе 1
На страницах сайта gdz.today вы найдете учебный и вспомогательный материал, направленный на улучшения знаний школьной программы. ГДЗ - онлайн мир знаний Упражнения Решение к главе 1 60 Учебнику по Математике для 6 класса Герасимов, Пирютко Образование и воспитание 2018