Выберите класс▼

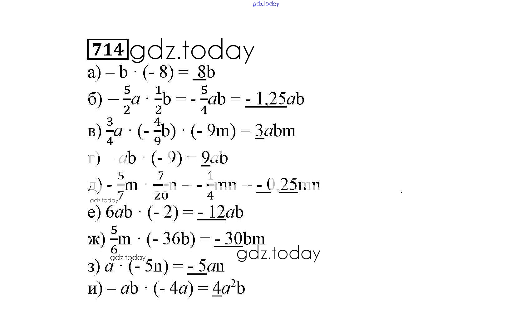
Ответы к Решение к заданиям 714 Учебнику по Математике для 6 класса Истомина Ассоциация 21 век 2015

На страницах сайта gdz.today вы найдете учебный и вспомогательный материал, направленный на улучшения знаний школьной программы. ГДЗ - онлайн мир знаний Решение к заданиям 714 Учебнику по Математике для 6 класса Истомина Ассоциация 21 век 2015