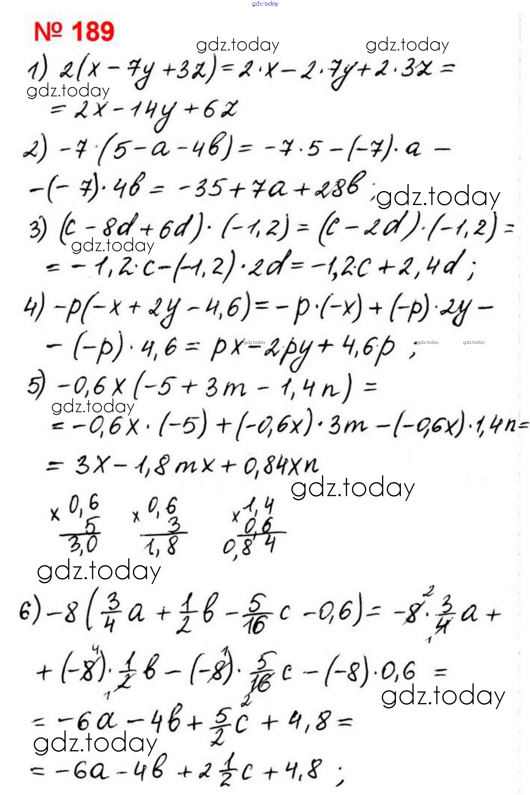
Ответы к Вариант 1 Решение к упражнениям 189 Дидактическим материалам по Математике для 6 класса Мерзляк, Полонский Вентана-граф Алгоритм успеха 2017
-
Решение к упражнениям
На страницах сайта gdz.today вы найдете учебный и вспомогательный материал, направленный на улучшения знаний школьной программы. ГДЗ - онлайн мир знаний Вариант 1 Решение к упражнениям 189 Дидактическим материалам по Математике для 6 класса Мерзляк, Полонский Вентана-граф Алгоритм успеха 2017