Выберите класс▼

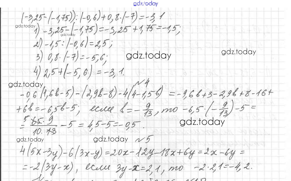
Ответы к КР-9. Варианты Решение к контрольным работам 1 Дидактическим материалам по Математике для 6 класса Мерзляк, Полонский Вентана-граф Алгоритм успеха 2017

  • Решение к контрольным работам
    • КР-5. Варианты
    • 1 2
    • КР-6. Варианты
    • 1 2
    • КР-7. Варианты
    • 1 2
    • КР-8. Варианты
    • 1 2
    • КР-9. Варианты
    • 1 2
    • КР-10. Варианты
    • 1 2
    • КР-11. Варианты
    • 1 2
    • КР-12. Варианты
    • 1 2
На страницах сайта gdz.today вы найдете учебный и вспомогательный материал, направленный на улучшения знаний школьной программы. ГДЗ - онлайн мир знаний КР-9. Варианты Решение к контрольным работам 1 Дидактическим материалам по Математике для 6 класса Мерзляк, Полонский Вентана-граф Алгоритм успеха 2017