Выберите класс▼

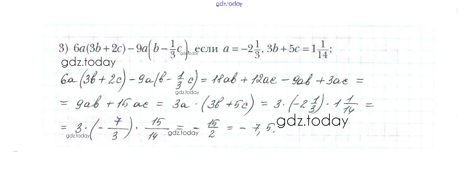
Ответы к Решение к части 3. Страницы 40 Рабочей тетради по Математике для 6 класса Мерзляк, Полонский Вентана-граф Алгоритм успеха 2019

На страницах сайта gdz.today вы найдете учебный и вспомогательный материал, направленный на улучшения знаний школьной программы. ГДЗ - онлайн мир знаний Решение к части 3. Страницы 40 Рабочей тетради по Математике для 6 класса Мерзляк, Полонский Вентана-граф Алгоритм успеха 2019