Выберите класс▼

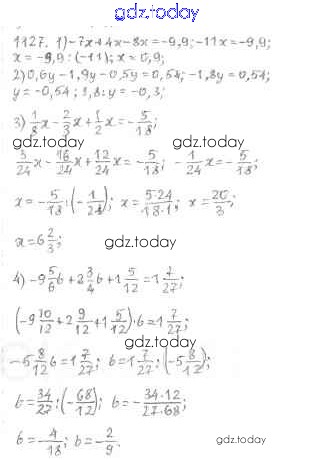
Ответы к Решение к главе 4. Рациональные числа и действия над ними (упражнения) 1127 Учебнику по Математике для 6 класса Мерзляк, Полонский Вентана-граф Алгоритм успеха 2016

На страницах сайта gdz.today вы найдете учебный и вспомогательный материал, направленный на улучшения знаний школьной программы. ГДЗ - онлайн мир знаний Решение к главе 4. Рациональные числа и действия над ними (упражнения) 1127 Учебнику по Математике для 6 класса Мерзляк, Полонский Вентана-граф Алгоритм успеха 2016