Выберите класс▼

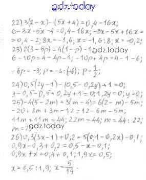
Ответы к Приложения к учебнику 10 Учебнику по Математике для 6 класса Мерзляк, Полонский Вентана-граф Алгоритм успеха 2016

На страницах сайта gdz.today вы найдете учебный и вспомогательный материал, направленный на улучшения знаний школьной программы. ГДЗ - онлайн мир знаний Приложения к учебнику 10 Учебнику по Математике для 6 класса Мерзляк, Полонский Вентана-граф Алгоритм успеха 2016