Выберите класс▼

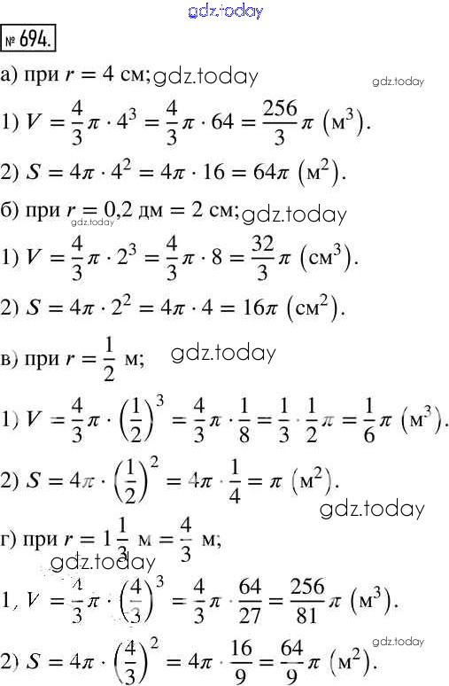
Ответы к Решения к задачам 694 Учебнику по Математике для 6 класса Муравин, Муравина Дрофа Вертикаль 2016

На страницах сайта gdz.today вы найдете учебный и вспомогательный материал, направленный на улучшения знаний школьной программы. ГДЗ - онлайн мир знаний Решения к задачам 694 Учебнику по Математике для 6 класса Муравин, Муравина Дрофа Вертикаль 2016