Выберите класс▼

Ответы к СР-28. Варианты Решение к самостоятельным работам 1 Дидактическим материалам по Математике для 6 класса Попов Экзамен УМК 2017

  • Решение к самостоятельным работам
    • СР-24. Варианты
    • 1 2
    • СР-25. Варианты
    • 1 2
    • СР-26. Варианты
    • 1 2
    • СР-27. Варианты
    • 1 2
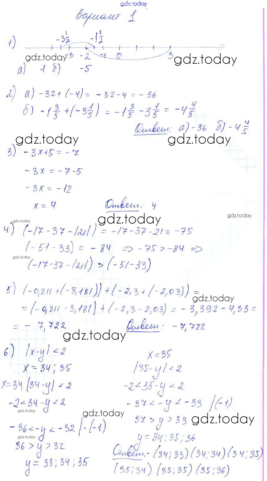
    • СР-28. Варианты
    • 1 2
    • СР-29. Варианты
    • 1 2
    • СР-30. Варианты
    • 1 2
    • СР-31. Варианты
    • 1 2
    • СР-32. Варианты
    • 1
На страницах сайта gdz.today вы найдете учебный и вспомогательный материал, направленный на улучшения знаний школьной программы. ГДЗ - онлайн мир знаний СР-28. Варианты Решение к самостоятельным работам 1 Дидактическим материалам по Математике для 6 класса Попов Экзамен УМК 2017