Выберите класс▼

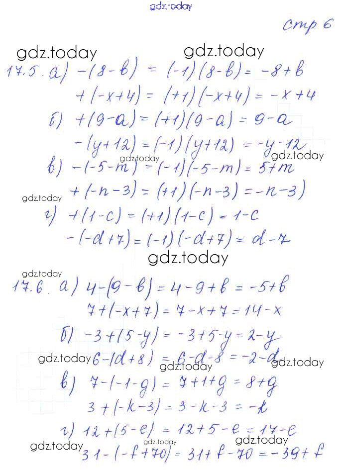
Ответы к Решение к части 2. Страницы 6 Рабочей тетради по Математике для 6 класса Зубарева Мнемозина 2016

На страницах сайта gdz.today вы найдете учебный и вспомогательный материал, направленный на улучшения знаний школьной программы. ГДЗ - онлайн мир знаний Решение к части 2. Страницы 6 Рабочей тетради по Математике для 6 класса Зубарева Мнемозина 2016