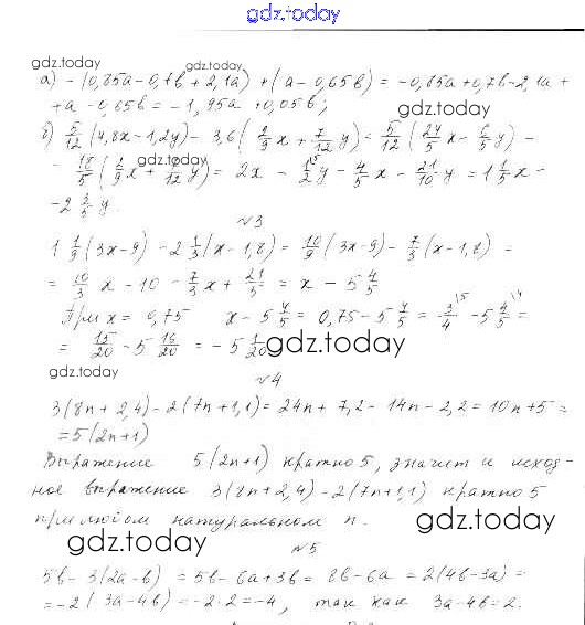
Ответы к СР-30 Решение к самостоятельным работам 5 Самостоятельным и контрольным работам по Математике для 6 класса Ершова, Голобородько Илекса 2015
-
Решение к самостоятельным работам
На страницах сайта gdz.today вы найдете учебный и вспомогательный материал, направленный на улучшения знаний школьной программы. ГДЗ - онлайн мир знаний СР-30 Решение к самостоятельным работам 5 Самостоятельным и контрольным работам по Математике для 6 класса Ершова, Голобородько Илекса 2015