Ответы к КР-3 Решение к контрольным работам В-2 Самостоятельным и контрольным работам по Математике для 6 класса Ершова, Голобородько Илекса 2015
-
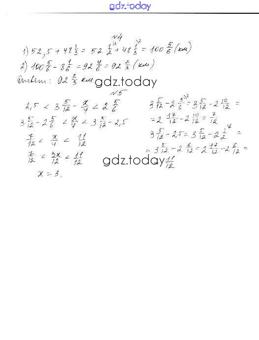
Решение к контрольным работам
На страницах сайта gdz.today вы найдете учебный и вспомогательный материал, направленный на улучшения знаний школьной программы. ГДЗ - онлайн мир знаний КР-3 Решение к контрольным работам В-2 Самостоятельным и контрольным работам по Математике для 6 класса Ершова, Голобородько Илекса 2015