Ответы к КР-6 Решение к контрольным работам Б-1 Самостоятельным и контрольным работам по Математике для 6 класса Ершова, Голобородько Илекса 2015
-
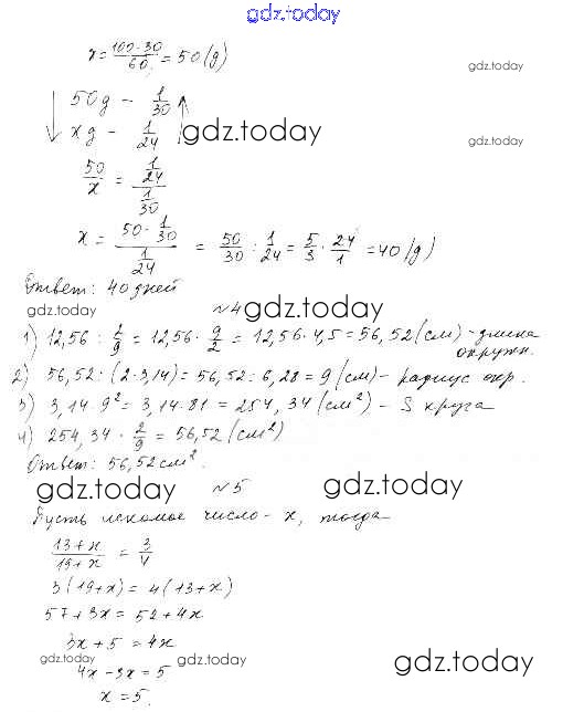
Решение к контрольным работам
На страницах сайта gdz.today вы найдете учебный и вспомогательный материал, направленный на улучшения знаний школьной программы. ГДЗ - онлайн мир знаний КР-6 Решение к контрольным работам Б-1 Самостоятельным и контрольным работам по Математике для 6 класса Ершова, Голобородько Илекса 2015