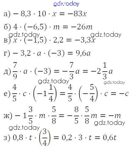
Ответы к §8. Решение уравнений Решение к главе 2 1260 Учебнику по Математике для 6 класса Виленкин, Жохов Мнемозина 2014
-
Решение к главе 2
На страницах сайта gdz.today вы найдете учебный и вспомогательный материал, направленный на улучшения знаний школьной программы. ГДЗ - онлайн мир знаний §8. Решение уравнений Решение к главе 2 1260 Учебнику по Математике для 6 класса Виленкин, Жохов Мнемозина 2014