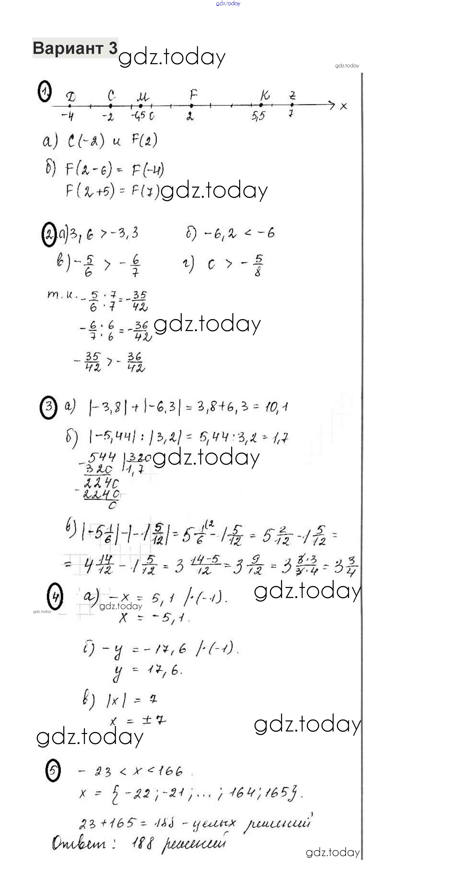
Ответы к Решение к КР-9. Варианты 3 Контрольным работам по Математике для 6 класса Жохов, Крайнева Мнемозина 2011
-
Решение к КР-7. Варианты
3
4
-
Решение к КР-8. Варианты
1
2
3
4
-
Решение к КР-9. Варианты
1
2
3
4
-
Решение к КР-10. Варианты
1
2
3
4
-
Решение к КР-11. Варианты
1
2
3
На страницах сайта gdz.today вы найдете учебный и вспомогательный материал, направленный на улучшения знаний школьной программы. ГДЗ - онлайн мир знаний Решение к КР-9. Варианты 3 Контрольным работам по Математике для 6 класса Жохов, Крайнева Мнемозина 2011