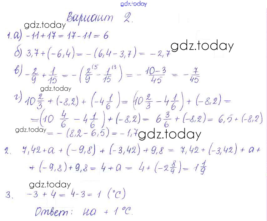
Ответы к СР-32. Варианты Решение к самостоятельным работам 2 Контрольным и самостоятельным работам по Математике для 6 класса Журавлев, Изотова Экзамен УМК 2015
-
Решение к самостоятельным работам
На страницах сайта gdz.today вы найдете учебный и вспомогательный материал, направленный на улучшения знаний школьной программы. ГДЗ - онлайн мир знаний СР-32. Варианты Решение к самостоятельным работам 2 Контрольным и самостоятельным работам по Математике для 6 класса Журавлев, Изотова Экзамен УМК 2015