Выберите класс▼

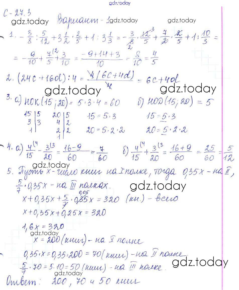
Ответы к 3. Варианты Решение к СР-27 1 Самостоятельным работам по Математике для 6 класса Зубарева, Лепешонкова Мнемозина УМК 2020

  • Решение к СР-26
  • Решение к СР-27
  • Решение к СР-28
    • 4. Варианты
    • 1
На страницах сайта gdz.today вы найдете учебный и вспомогательный материал, направленный на улучшения знаний школьной программы. ГДЗ - онлайн мир знаний 3. Варианты Решение к СР-27 1 Самостоятельным работам по Математике для 6 класса Зубарева, Лепешонкова Мнемозина УМК 2020