Ответы к Решение к СР-21. Варианты 1 Самостоятельным работам по Алгебре для 7 класса Александрова Мнемозина УМК 2016
-
Решение к СР-19. Варианты
1
2
3
4
-
Решение к СР-20. Варианты
1
2
3
4
-
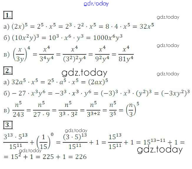
Решение к СР-21. Варианты
1
2
3
4
-
Решение к СР-22. Варианты
1
2
3
4
-
Решение к СР-23. Варианты
1
На страницах сайта gdz.today вы найдете учебный и вспомогательный материал, направленный на улучшения знаний школьной программы. ГДЗ - онлайн мир знаний Решение к СР-21. Варианты 1 Самостоятельным работам по Алгебре для 7 класса Александрова Мнемозина УМК 2016