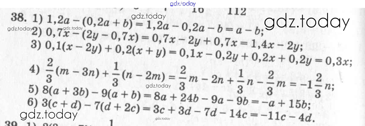
Ответы к §4. Свойства арифметических действий Решение к главе 1. Алгебраические выражения 38 Учебнику по Алгебре для 7 класса Колягин, Ткачёва Просвещение 2014
-
Решение к главе 1. Алгебраические выражения
На страницах сайта gdz.today вы найдете учебный и вспомогательный материал, направленный на улучшения знаний школьной программы. ГДЗ - онлайн мир знаний §4. Свойства арифметических действий Решение к главе 1. Алгебраические выражения 38 Учебнику по Алгебре для 7 класса Колягин, Ткачёва Просвещение 2014