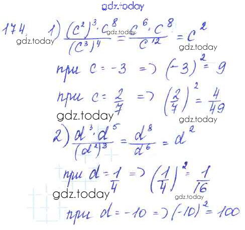
Ответы к §10. Свойства степени с натуральным показателем Решение к главе 3. Одночлены и многочлены 174 Учебнику по Алгебре для 7 класса Колягин, Ткачёва Просвещение 2014
-
Решение к главе 3. Одночлены и многочлены
На страницах сайта gdz.today вы найдете учебный и вспомогательный материал, направленный на улучшения знаний школьной программы. ГДЗ - онлайн мир знаний §10. Свойства степени с натуральным показателем Решение к главе 3. Одночлены и многочлены 174 Учебнику по Алгебре для 7 класса Колягин, Ткачёва Просвещение 2014