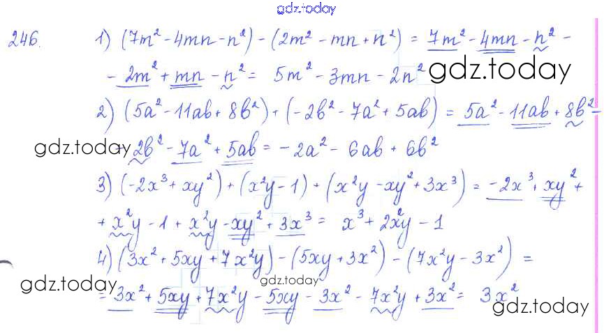
Ответы к §15. Сложение и вычитание многочленов Решение к главе 3. Одночлены и многочлены 246 Учебнику по Алгебре для 7 класса Колягин, Ткачёва Просвещение 2014
-
Решение к главе 3. Одночлены и многочлены
На страницах сайта gdz.today вы найдете учебный и вспомогательный материал, направленный на улучшения знаний школьной программы. ГДЗ - онлайн мир знаний §15. Сложение и вычитание многочленов Решение к главе 3. Одночлены и многочлены 246 Учебнику по Алгебре для 7 класса Колягин, Ткачёва Просвещение 2014