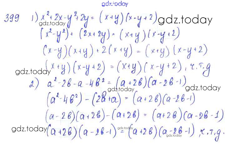
Ответы к §23. Применение нескольких способов разложения многочлена на множители Решение к главе 4. Разложение многочленов на множители 399 Учебнику по Алгебре для 7 класса Колягин, Ткачёва Просвещение 2014
-
Решение к главе 4. Разложение многочленов на множители
На страницах сайта gdz.today вы найдете учебный и вспомогательный материал, направленный на улучшения знаний школьной программы. ГДЗ - онлайн мир знаний §23. Применение нескольких способов разложения многочлена на множители Решение к главе 4. Разложение многочленов на множители 399 Учебнику по Алгебре для 7 класса Колягин, Ткачёва Просвещение 2014