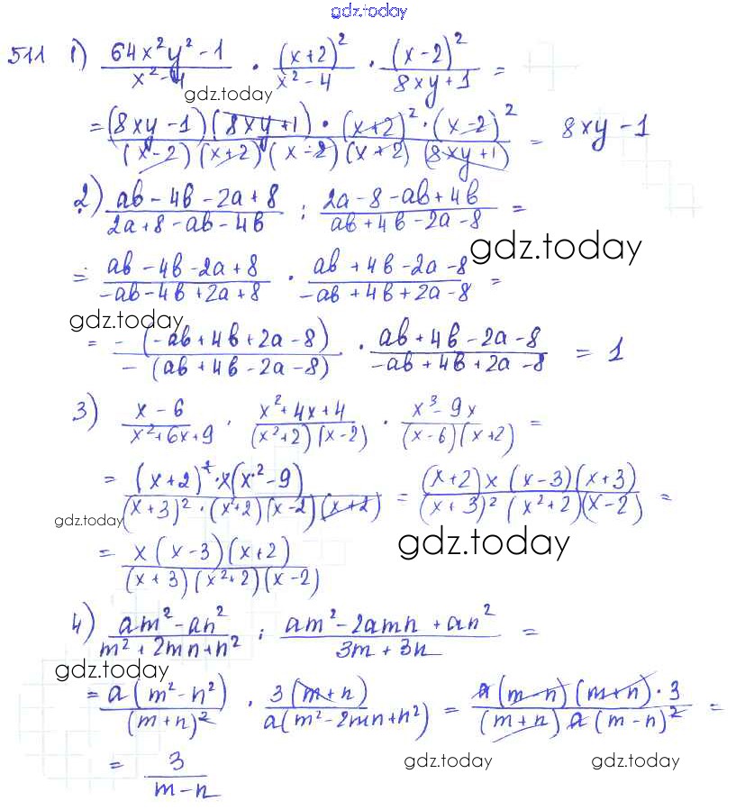
Ответы к Упражнения к главе 5 Решение к главе 5. Алгебраические дроби 511 Учебнику по Алгебре для 7 класса Колягин, Ткачёва Просвещение 2014
-
Решение к главе 5. Алгебраические дроби
На страницах сайта gdz.today вы найдете учебный и вспомогательный материал, направленный на улучшения знаний школьной программы. ГДЗ - онлайн мир знаний Упражнения к главе 5 Решение к главе 5. Алгебраические дроби 511 Учебнику по Алгебре для 7 класса Колягин, Ткачёва Просвещение 2014