Выберите класс▼

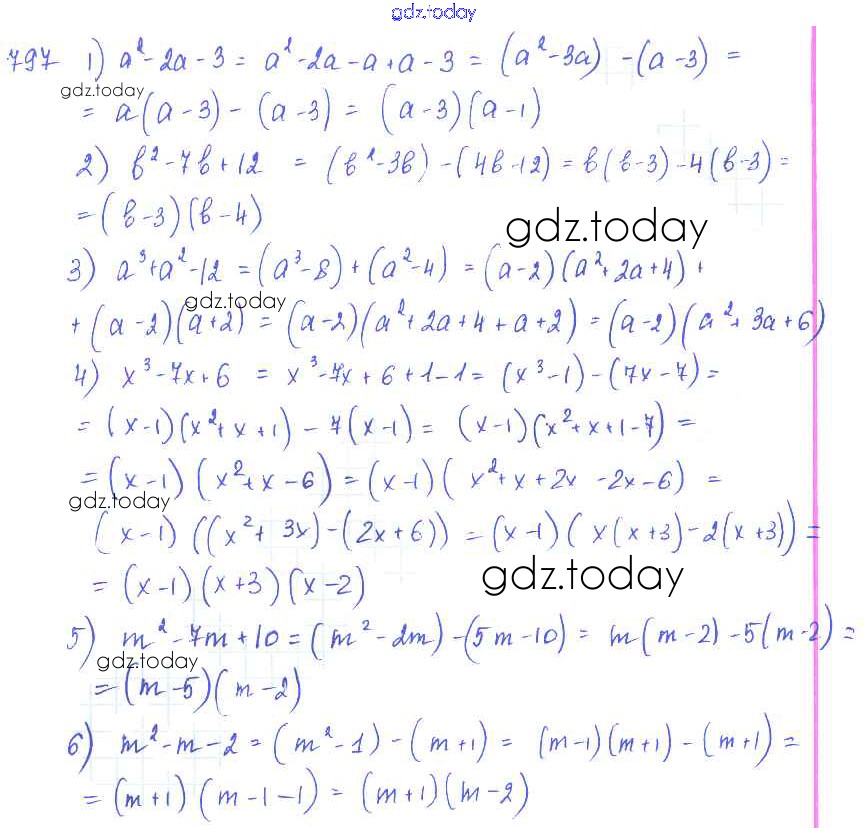
Ответы к Упражнения для повторения курса алгебры 7 класса 797 Учебнику по Алгебре для 7 класса Колягин, Ткачёва Просвещение 2014

На страницах сайта gdz.today вы найдете учебный и вспомогательный материал, направленный на улучшения знаний школьной программы. ГДЗ - онлайн мир знаний Упражнения для повторения курса алгебры 7 класса 797 Учебнику по Алгебре для 7 класса Колягин, Ткачёва Просвещение 2014