Выберите класс▼

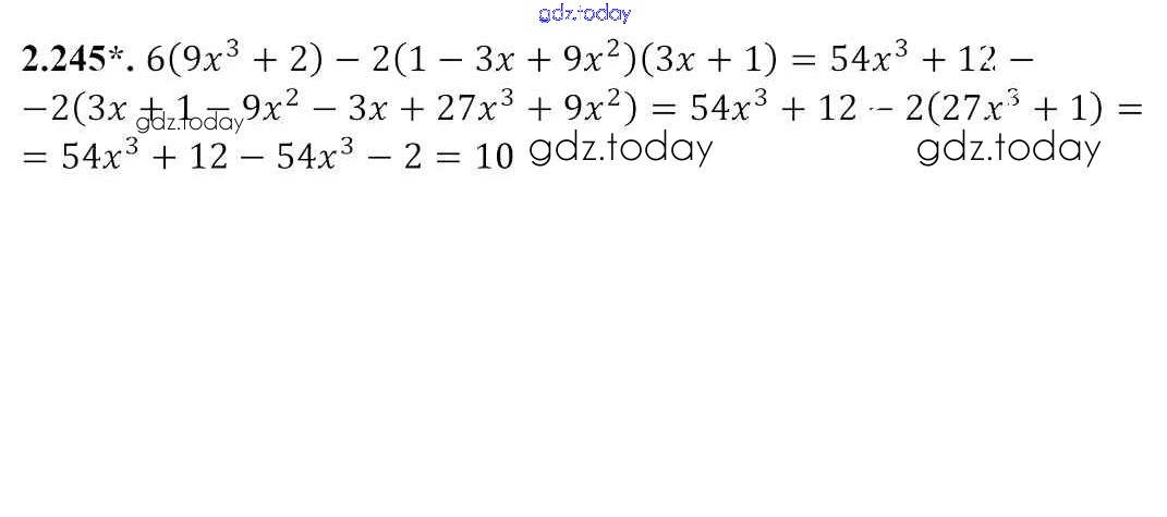
Ответы к Решение к главе 2 2.245 Учебнику по Алгебре для 7 класса Арефьева, Пирютко Народная асвета 2017

На страницах сайта gdz.today вы найдете учебный и вспомогательный материал, направленный на улучшения знаний школьной программы. ГДЗ - онлайн мир знаний Решение к главе 2 2.245 Учебнику по Алгебре для 7 класса Арефьева, Пирютко Народная асвета 2017