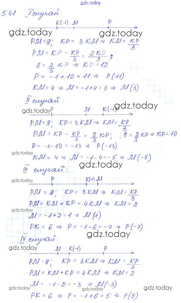
Ответы к § 5. Координатная прямая Решение к главе 1 41 Задачнику по Алгебре для 7 класса Мордкович, Александрова Базовый уровень Мнемозина 2013
-
Решение к главе 1
На страницах сайта gdz.today вы найдете учебный и вспомогательный материал, направленный на улучшения знаний школьной программы. ГДЗ - онлайн мир знаний § 5. Координатная прямая Решение к главе 1 41 Задачнику по Алгебре для 7 класса Мордкович, Александрова Базовый уровень Мнемозина 2013