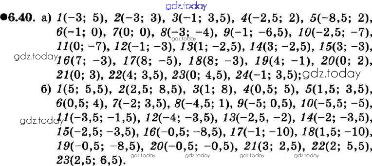
Ответы к § 6. Координатная плоскость Решение к главе 1 40 Задачнику по Алгебре для 7 класса Мордкович, Александрова Базовый уровень Мнемозина 2013
-
Решение к главе 1
-
Решение к главе 2
На страницах сайта gdz.today вы найдете учебный и вспомогательный материал, направленный на улучшения знаний школьной программы. ГДЗ - онлайн мир знаний § 6. Координатная плоскость Решение к главе 1 40 Задачнику по Алгебре для 7 класса Мордкович, Александрова Базовый уровень Мнемозина 2013