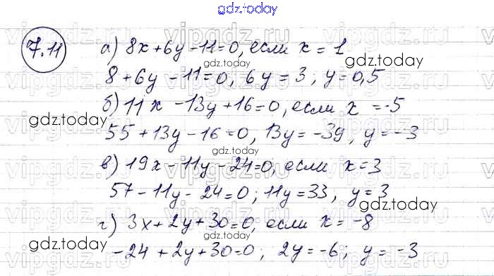
Ответы к § 7. Линейное уравнение с двумя переменными и его график Решение к главе 2 11 Задачнику по Алгебре для 7 класса Мордкович, Александрова Базовый уровень Мнемозина 2013
-
Решение к главе 2
На страницах сайта gdz.today вы найдете учебный и вспомогательный материал, направленный на улучшения знаний школьной программы. ГДЗ - онлайн мир знаний § 7. Линейное уравнение с двумя переменными и его график Решение к главе 2 11 Задачнику по Алгебре для 7 класса Мордкович, Александрова Базовый уровень Мнемозина 2013