Выберите класс▼

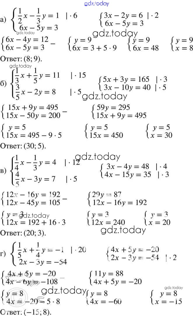
Ответы к § 13. Метод алгебраического сложения Решение к главе 3 11 Задачнику по Алгебре для 7 класса Мордкович, Александрова Базовый уровень Мнемозина 2013

  • Решение к главе 3
    • § 14. Системы двух линейных уравнений с двумя переменными как математические модели реальных ситуаций
    • 1
На страницах сайта gdz.today вы найдете учебный и вспомогательный материал, направленный на улучшения знаний школьной программы. ГДЗ - онлайн мир знаний § 13. Метод алгебраического сложения Решение к главе 3 11 Задачнику по Алгебре для 7 класса Мордкович, Александрова Базовый уровень Мнемозина 2013