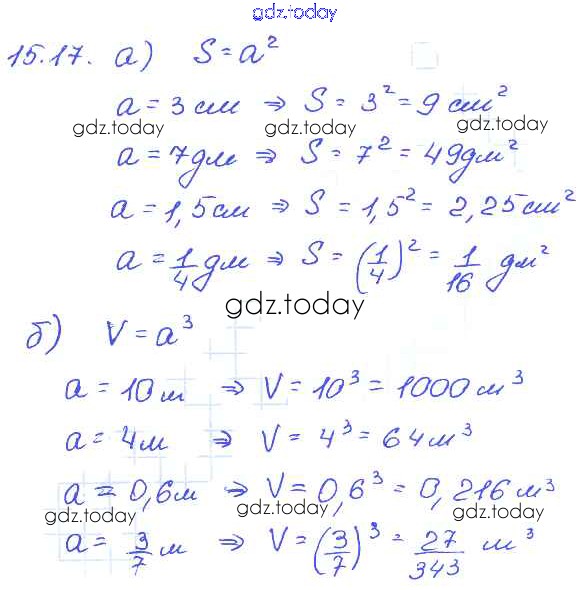
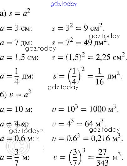
Ответы к § 15. Что такое степень с натуральным показателем Решение к главе 4 17 Задачнику по Алгебре для 7 класса Мордкович, Александрова Базовый уровень Мнемозина 2013
-
Решение к главе 4
На страницах сайта gdz.today вы найдете учебный и вспомогательный материал, направленный на улучшения знаний школьной программы. ГДЗ - онлайн мир знаний § 15. Что такое степень с натуральным показателем Решение к главе 4 17 Задачнику по Алгебре для 7 класса Мордкович, Александрова Базовый уровень Мнемозина 2013