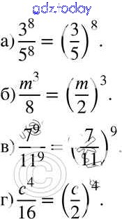
Ответы к § 18. Умножение и деление степеней с одинаковыми показателями Решение к главе 4 16 Задачнику по Алгебре для 7 класса Мордкович, Александрова Базовый уровень Мнемозина 2013
-
Решение к главе 4
На страницах сайта gdz.today вы найдете учебный и вспомогательный материал, направленный на улучшения знаний школьной программы. ГДЗ - онлайн мир знаний § 18. Умножение и деление степеней с одинаковыми показателями Решение к главе 4 16 Задачнику по Алгебре для 7 класса Мордкович, Александрова Базовый уровень Мнемозина 2013