Выберите класс▼

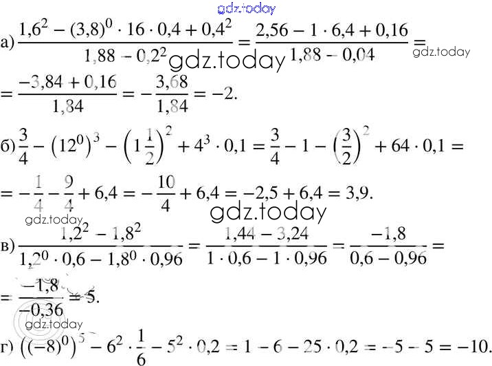
Ответы к § 19. Степень с нулевым показателем Решение к главе 4 10 Задачнику по Алгебре для 7 класса Мордкович, Александрова Базовый уровень Мнемозина 2013

  • Решение к главе 5
    • § 20. Понятие одночлена. стандартный вид одночлена
    • 1 2 3 4 5 6
На страницах сайта gdz.today вы найдете учебный и вспомогательный материал, направленный на улучшения знаний школьной программы. ГДЗ - онлайн мир знаний § 19. Степень с нулевым показателем Решение к главе 4 10 Задачнику по Алгебре для 7 класса Мордкович, Александрова Базовый уровень Мнемозина 2013