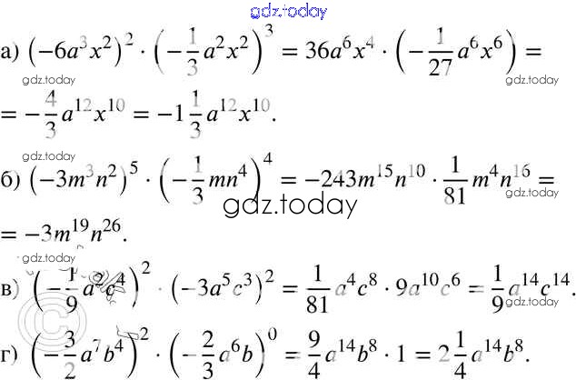
Ответы к § 22. Умножение одночленов. Возведение одночлена в натуральную степень Решение к главе 5 32 Задачнику по Алгебре для 7 класса Мордкович, Александрова Базовый уровень Мнемозина 2013
-
Решение к главе 5
На страницах сайта gdz.today вы найдете учебный и вспомогательный материал, направленный на улучшения знаний школьной программы. ГДЗ - онлайн мир знаний § 22. Умножение одночленов. Возведение одночлена в натуральную степень Решение к главе 5 32 Задачнику по Алгебре для 7 класса Мордкович, Александрова Базовый уровень Мнемозина 2013