Выберите класс▼

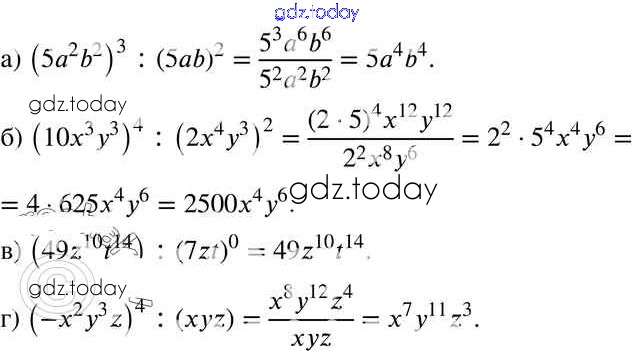
Ответы к § 23. Деление одночлена на одночлен Решение к главе 5 13 Задачнику по Алгебре для 7 класса Мордкович, Александрова Базовый уровень Мнемозина 2013

  • Решение к главе 6
    • § 24. Основные понятия
    • 1 2
На страницах сайта gdz.today вы найдете учебный и вспомогательный материал, направленный на улучшения знаний школьной программы. ГДЗ - онлайн мир знаний § 23. Деление одночлена на одночлен Решение к главе 5 13 Задачнику по Алгебре для 7 класса Мордкович, Александрова Базовый уровень Мнемозина 2013