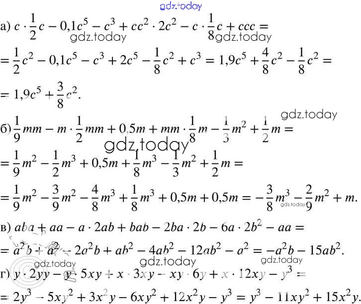
Ответы к § 24. Основные понятия Решение к главе 6 18 Задачнику по Алгебре для 7 класса Мордкович, Александрова Базовый уровень Мнемозина 2013
-
Решение к главе 6
На страницах сайта gdz.today вы найдете учебный и вспомогательный материал, направленный на улучшения знаний школьной программы. ГДЗ - онлайн мир знаний § 24. Основные понятия Решение к главе 6 18 Задачнику по Алгебре для 7 класса Мордкович, Александрова Базовый уровень Мнемозина 2013