Выберите класс▼

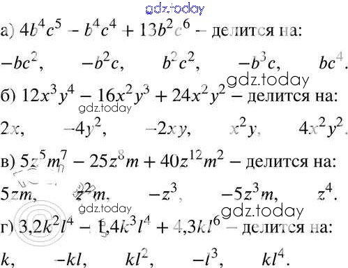
Ответы к § 29. Деление многочлена на одночлен Решение к главе 6 12 Задачнику по Алгебре для 7 класса Мордкович, Александрова Базовый уровень Мнемозина 2013

  • Решение к главе 7
    • § 30. Что такое разложение многочленов на множители и зачем оно нужно
    • 1 2 3
На страницах сайта gdz.today вы найдете учебный и вспомогательный материал, направленный на улучшения знаний школьной программы. ГДЗ - онлайн мир знаний § 29. Деление многочлена на одночлен Решение к главе 6 12 Задачнику по Алгебре для 7 класса Мордкович, Александрова Базовый уровень Мнемозина 2013