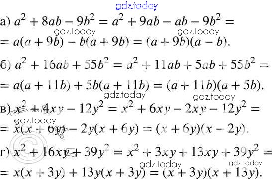
Ответы к § 32. Способ группировки Решение к главе 7 19 Задачнику по Алгебре для 7 класса Мордкович, Александрова Базовый уровень Мнемозина 2013
-
Решение к главе 7
На страницах сайта gdz.today вы найдете учебный и вспомогательный материал, направленный на улучшения знаний школьной программы. ГДЗ - онлайн мир знаний § 32. Способ группировки Решение к главе 7 19 Задачнику по Алгебре для 7 класса Мордкович, Александрова Базовый уровень Мнемозина 2013