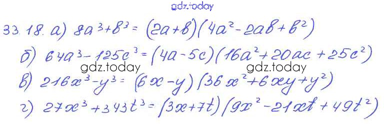
Ответы к § 33. Разложение многочленов на множители с помощью формул сокращенного умножения Решение к главе 7 18 Задачнику по Алгебре для 7 класса Мордкович, Александрова Базовый уровень Мнемозина 2013
-
Решение к главе 7
На страницах сайта gdz.today вы найдете учебный и вспомогательный материал, направленный на улучшения знаний школьной программы. ГДЗ - онлайн мир знаний § 33. Разложение многочленов на множители с помощью формул сокращенного умножения Решение к главе 7 18 Задачнику по Алгебре для 7 класса Мордкович, Александрова Базовый уровень Мнемозина 2013