Выберите класс▼

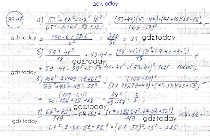
Ответы к § 33. Разложение многочленов на множители с помощью формул сокращенного умножения Решение к главе 7 47 Задачнику по Алгебре для 7 класса Мордкович, Александрова Базовый уровень Мнемозина 2013

  • Решение к главе 7
    • § 34. Разложение многочленов на множители с помощью комбинаций различных приемов
    • 1 2
На страницах сайта gdz.today вы найдете учебный и вспомогательный материал, направленный на улучшения знаний школьной программы. ГДЗ - онлайн мир знаний § 33. Разложение многочленов на множители с помощью формул сокращенного умножения Решение к главе 7 47 Задачнику по Алгебре для 7 класса Мордкович, Александрова Базовый уровень Мнемозина 2013